電纜故障高壓電橋定位原理

? 利用Murray電橋對擊穿點定位是經典的辦法,方便而準確。電橋法的依據是線芯(或屏蔽層)電阻均 勻,與長度成比例。下圖3為一典型用法。

圖3 電橋接線圖
? ZGH為高壓恒流源。
? 故障電纜為B相線芯,對鋼帶在L1處擊穿。輔助電纜為A相線芯。A、B相線芯截面相同,長度均為L,故障點距測量端的距離為L1。
? 測量夾接至電纜線芯M、X兩端,夾子的兩側分別為電流電位端,均應與電纜可靠連接。
? r為調節平衡用的10圈電位器,與A、B兩相共同構成電橋,刻度盤讀數為千分比。
? G為檢流計,電氣平衡零點可調。
? 在遠端通過C型夾專用短路線,短路NY兩端。
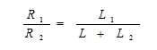
L1段電纜線芯電阻為R1,L2段電纜及A相電纜線芯的電阻為R2。與定位電橋構成Murray電橋回路。其電路原理如圖4。

電橋平衡后 
圖中
平衡后有
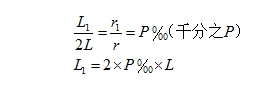
比例臂電阻與10圈刻度盤相連,電阻比例P可由刻度盤讀取,因此:
由此可見,只要電橋有一定的靈敏度并能平衡,電橋法定位簡單而精確。
2、測量步驟

圖5 電橋接線示意圖
(1)用萬用表,搖表或其它耐壓設備確認電纜擊穿狀態,記錄各相線的對地絕緣電阻或擊穿殘壓等數值。
(2)記錄待測電纜長度、型號、截面等參數,沿電纜敷設路徑巡視,在遠端將故障相與故障相可靠短接(接觸電阻越小越好),并留一人在遠端監護,以免高壓傷人。
(3)接線。儀器接地端可靠接至定位現場接地體。放電棒接在接地端。測量首端(紅夾)接在故障線線芯,測量末端(黑夾)接輔助線線芯。
(4)電橋調零。電池開關置“開”,旋轉調零鈕,(若指針偏左,順時針旋轉,指針偏右,逆時針旋轉)。使檢流計指零。此后電池開關及時置“關”。確認電池開關置“關”!在關位置時,不但關閉檢流計放大器電池,同時短路比例電位器,斷開檢流計。可避免升壓燃弧階段的脈沖電流損壞電橋。因此,在電流穩定前,電池開關必須處于“關”位置。
(5)電源接在AC220V。儀器內電源插座接地點懸空,因此,不要求電源線可靠接地。
(6)升壓。首先將高壓調節旋鈕逆時針旋轉至零位,為了使得高壓恒流源從零開始,逐漸升高,防止打開電源開關時,突然有一個較高電壓輸出,保證升壓過程的安全。打開電源開關,電源指示燈亮。
(7)順時針緩慢旋轉高壓調節鈕,觀察電壓表及電流表,直到電流表指示達到8mA左右。若電流不穩定,可繼續升高電壓,保持一段時間,形成穩定電弧或導電區,使測試過程的電流穩定。
(8)平衡調節。順時針旋轉放大旋鈕,逐檔增大靈敏度,至檢流計有明顯偏轉但不過度,旋轉‰刻度盤,使檢流計指零。(若指針偏左,順時針旋轉,指針偏右,逆時針旋轉)。逐檔提高靈敏度,使指針偏轉對‰旋鈕的微小調節敏感即可。
(9)記下此時‰刻度盤的讀數P1‰。應有P1≤500,否則可能由于紅黑夾接反。
(10)降電壓,關閉電源,放電,并經另一人確認。將測量鉗交換位置,(專用短接線C形夾不必更換位置)。重復步驟(4)至(10)得到另一 讀數P2,應有P1+P2=1000。該過程能避免讀數及測量鉗使用上的錯誤,P1+P2不必追求完全等于1000。在9990及1010之間均屬正常。在高壓合閘,無電流輸出,當前靈敏度檔重復調零能得到更為準確的比例。
(11)計算。故障點的位置為:X=2×L×P1‰,應特別注意公式中的“2”,輔助電纜使參與計算的電纜延長了一倍。
Copyright ??西安光大百納電子科技有限公司 版權所有 陜ICP備19014074號-1
全國服務電話:13991193588 ? 傳真:029-89288537
公司地址:西安市科技路8號凱麗大廈